이번 포스팅에서는 두 점사이의 거리를 구하는 함수를 작성해보았습니다.
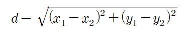
두 점 x1, y1과 x2, y2 사이의 거리 d를 구하는 방법은

이므로 이를 코드상에서 표기하기 위해 제곱은 pow()함수를, 제곱근은 sqrt()함수를 이용했습니다.
해당 함수들은 math.h 라이브러리에 포함되어 있기 때문에 시작시 전처리기를 통해 포함시켜주었습니다.
#define _CRT_SECURE_NO_WARNINGS
#include<Stdio.h>
#include<math.h>
// 두 점 사이의 거리를 구하는 함수
double get_distance(double x1, double y1, double x2, double y2);
int main(void)
{
int x1, x2, y1, y2;
printf("첫번째 점의 좌표를 입력하시오: (x, y) ");
scanf("%d %d", &x1, &y1);
printf("두번째 점의 좌료플 입력하시오: (x, y) ");
scanf("%d %d", &x2, &y2);
printf("두점 사이의 거리는 %f입니다.\n", get_distance(x1, y1, x2, y2));
return 0;
}
double get_distance(double x1, double y1, double x2, double y2)
{
return sqrt(pow(x1 - x2,2) + pow(y1 - y2,2));
}

반응형
'코딩 | 개념 정리 > C' 카테고리의 다른 글
| [C언어] 함수를 활용해 오일러의 수 구하기 (0) | 2021.04.12 |
|---|---|
| [C언어] 함수를 활용해 2부터 100 사이의 소수 출력하기 (0) | 2021.04.12 |
| [C언어] 함수를 활용해 두 개의 정수 배수여부 판단하기 (0) | 2021.04.12 |
| [C언어] 입력값만큼 별표문자 그리기 (0) | 2021.04.11 |
| [C언어] 함수를 활용해 0.0부터 1.0 난수 반환하기 (0) | 2021.04.11 |